Предмет: Алгебра, автор: ktoto1116

ДОПОМОЖІТЬ!!! СРОЧНО! 10 клас! ДАЮ 30б.

Приложения:

ktoto1116: ірраціональні рівняння

Ответы

Автор ответа: manyny06
1

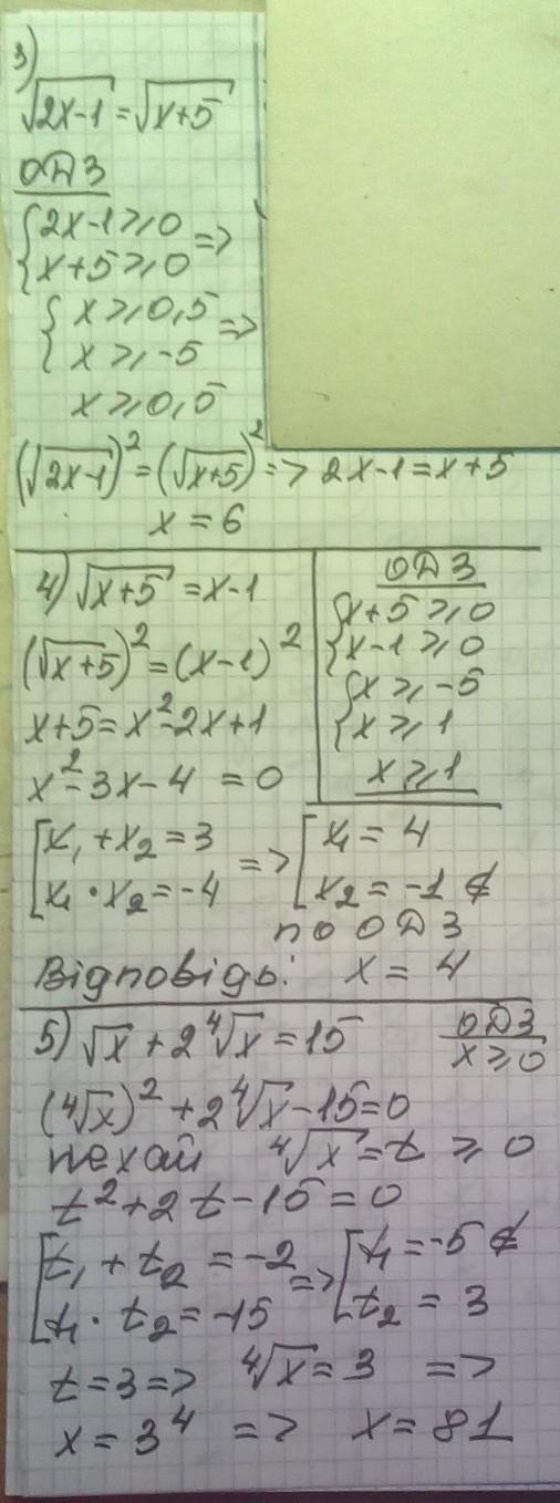
Ответ:

решение смотри на фотографии

Приложения:
Похожие вопросы
Предмет: Физика, автор: m00855507
Предмет: Русский язык, автор: Mrtheto
Пунктуационный анализ.

Расставьте знаки препинания. Укажите цифры, на месте должны стоять запятые.

Решительный и неустрашимый (1) он (2) безусловно (3) казался девочкам необыкновенным и замечательным: это былих герой (4) и рычал он так (5) что (6) стоя за дверями (7)

в самом деле можно было подумать (8) не находится ли там кровожадный тигр (9) либо гигантский лев.


Задание № 12.

Пунктуационный анализ.

Расставьте знаки препинания. Укажите цифры, на месте должны стоять запятые.

Несмотря на уговоры родителей (1) Чечевицын уезжал рано утром (2) и (3) прощаясь с девочками (4) не сказал он им (5) к их сожалению (6) ни одного слова; взяв у Кати тетрадь (7) суровый и надменный мальчик (8) всё-таки (9) написал в знак памяти: «Монтигомо Ястребиный Коготь».


Задание 13.

Пунктуационный анализ.

Расставьте знаки препинания. Укажите цифры, на месте должны стоять запятые.

Бричка бежит (1) и (2) внимательно всматриваясь (3) Егорушка (4) на протяжении всего пути (5) видит (6) как (7) над выгоревшей от жгучего солнца (8) травой носят грачи (9) и
своей похожестью друг на друга делают степь еще более однообразной.