Предмет: Математика,
автор: dimarubanuk2022
Допоможіть будь ласка
Приложения:
Ответы
Автор ответа:
1
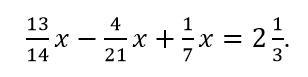
Ответ:
відповідь: x = 2 24/37
Приложения:
dimarubanuk2022:
дякую
Можна найкращу відповідь... Чи я не заслуговою?(
Похожие вопросы
Предмет: Математика,
автор: samkxwap
Предмет: История,
автор: lika80356
Предмет: Физика,
автор: andrejribalkr
Предмет: Музыка,
автор: negmatovanasiba082