Предмет: Математика,
автор: bondarenkodaria74
очень срочно !!! дам 10 балов
Приложения:
Ответы
Автор ответа:
1
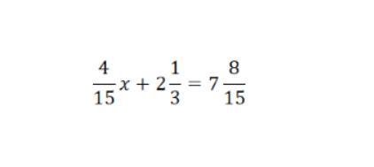
Вот ответ приводить надо к одинаковым знаменателем
Приложения:
Похожие вопросы
Предмет: Физика,
автор: vikaslizykova
Предмет: Математика,
автор: milaniaromanovich56
Предмет: Русский язык,
автор: Linaroja
Предмет: Алгебра,
автор: Versaciiie
Предмет: Информатика,
автор: nabatnabatov77