Предмет: Алгебра,
автор: jorinay2010
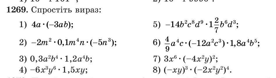
1269. Спростіть вираз
ПОМОГИТЕ СРОЧНО!!!!!
Приложения:
Ответы
Автор ответа:
1
Ответ:
решение смотри на фотографии
Приложения:
Похожие вопросы
Предмет: Геометрия,
автор: prostom962
Предмет: Химия,
автор: vovchenkomaryna14
Предмет: Химия,
автор: njr88551
Предмет: Экономика,
автор: PROblemapronin
Предмет: Математика,
автор: 123456zx