Предмет: Математика,
автор: adaviyyamedeuov
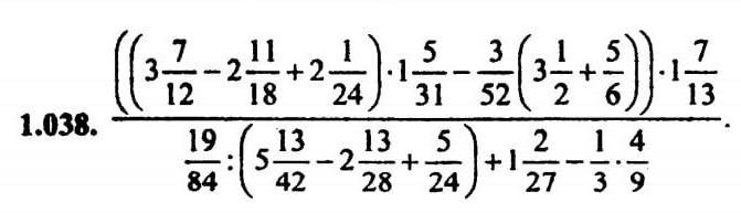
решите срочно даю 10бл
Приложения:
Ответы
Автор ответа:
0
Ответ:
5
Пошаговое объяснение:
все
adaviyyamedeuov:
а действия
Похожие вопросы
Предмет: Английский язык,
автор: tumuslim4
Предмет: Химия,
автор: Maksspuhk
Предмет: Қазақ тiлi,
автор: akrivobokova642
Предмет: Алгебра,
автор: yakimchukolena1702
Предмет: Биология,
автор: sashaantonova2606