Предмет: Алгебра,
автор: metaminesss
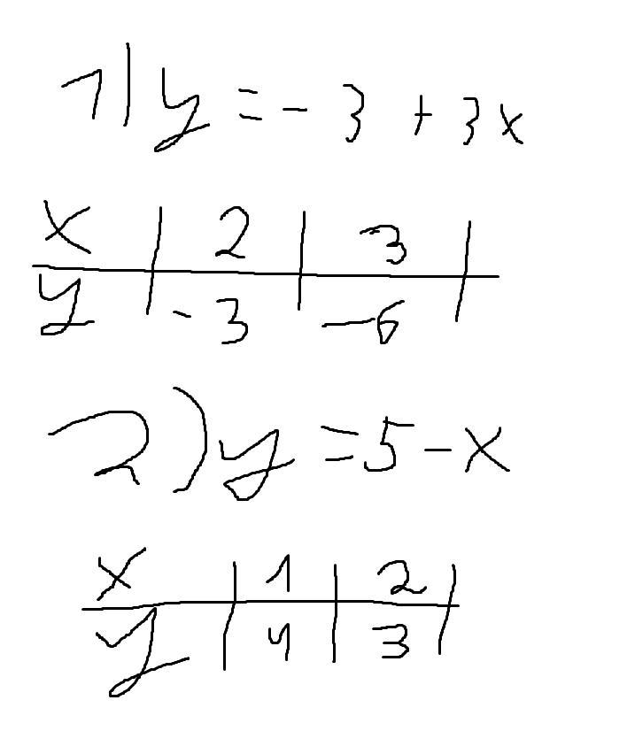
Постройте координатную прямую на скрине
Приложения:
Shilkinn:
В 1 неверно посчитаны координаты y
а как тогда?
С твоими точками x=2 y=3, x=3 y=6
А, всё, понял, спасибо
Ответы
Автор ответа:
1
держи, и исправь точки x в табличке, как я написал в комментах
Приложения:
Спасибо большое
Не за что)
Похожие вопросы
Предмет: Алгебра,
автор: alinazanabaeva97
Предмет: Математика,
автор: evgeshavakulenko
Предмет: Литература,
автор: watulox
Предмет: Другие предметы,
автор: Milasicus
Предмет: География,
автор: siotadominika7