Предмет: Алгебра,
автор: parklisu834
ОЧЕНЬ СРОЧНООООО!!! ПОЖАЛУЙСТА, ДАЮ 20 БАЛЛОВ!!!!!!!!
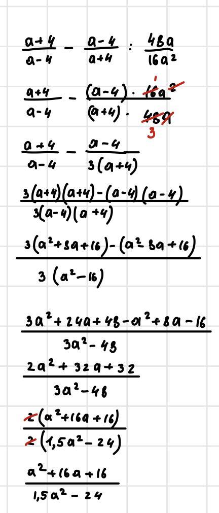
(a+4/a-4-a-4/a+4)÷48a/16-a^2 1.выполните действие 2. упростите выражение
Ответы
Автор ответа:
1
Надеюсь помог, удачи
Приложения:
Похожие вопросы
Предмет: Физика,
автор: wabadabym2234
Предмет: Математика,
автор: puhalevichalina
Предмет: Математика,
автор: udovitskayasnezhana
Предмет: Математика,
автор: punnyyt
Предмет: Алгебра,
автор: danildzoba749