Предмет: Алгебра,
автор: Insainite
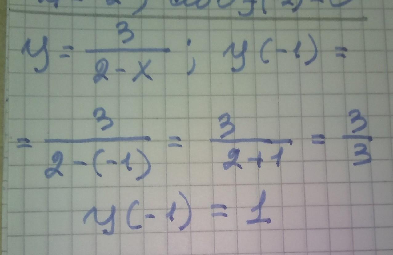
Функцію задано формулою y=3/2-х. Знайдіть y(-1)
Приложения:
Ответы
Автор ответа:
3
Автор ответа:
0
Ответ:
решение смотри на фотографии
Приложения:
artemokunkov228:
умоляююю помоги с алгеброй...
Похожие вопросы
Предмет: Українська мова,
автор: vikakudlik61
Предмет: Английский язык,
автор: nastamartanova731
Предмет: Физика,
автор: bunkoilla
Предмет: Математика,
автор: abespavlova2411
Предмет: Алгебра,
автор: anastasiyaii352