Предмет: Математика, автор: Аноним

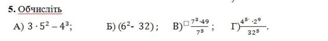
5. Обчисліть А) 3.52 - 43: Б) (62- 32); B)= 73.49 75 325​

Приложения:

Ответы

Автор ответа: tatsach
1

Ответ:

Пошаговое объяснение:

Приложения:
Похожие вопросы
Предмет: Другие предметы, автор: vgarkysha123
Допоможіть срочно!!!
Поліанна переїхала жити до тітоньки Полі, тому що: (1 бал)


а) самотня тітонька хотіла дбати про сироту; 6) Поліанна мріяла жити з багатою тіткою в розкошах;


в) Поліанна залишилася зовсім одна, у неї не було вибору; г) Поліанні не підходив клімат рідного містечка.


(1 бал)


2. Поліанна з батьком вигадали гру:


а) в слова;


б) в міста;


в) в щастя


; г) в радість.


(1 бал)


3. Поліанна розпочала гру після того, як замість ляльки отримала


а) велосипед:


б) цукерки;


в) милиці;


г) сукню.


4.


Суть гри Поліанни в тому, щоб: i


(1 бал)


а) гарно розважитися і відпочити; б) зібрати докупи якомога більше друзів і побешкетувати;


в) знайти щось таке, з чого можна було б порадіти; г) згаяти вільний час і не нудьгувати.


5.


Тітонька Полі оселила Поліанну на горищі,


тому що: (1 бал)


а) була бідна і не мала для дівчинки ліпшого приміщення;


б) на горищі виявилася найошатніша кімната в усьому будинку; в) хотіла, щоб дівчинка якомога менше потрапляла їй на очі; г) в інших кімнатах був ремонт у зв'язку з приїздом Поліанни.


(1 бал)


6. Лікар уважав, що візити Поліанни до хворих корисні, бо вона


а) носила всім холодець із телячої ніжки;


б) вміла поліпшувати хворим настрій і вчила їх радіти;


в) розповідала їм новини про місто цікавіше, ніж радіо


г) вміла добре доглядати хворих.


(1 бал)


7. Мешканці міста полюбили Поліанну за:


а) її життєрадісність і дитячу щирість;


б) балакучість і готовність до спілкування;


в) невичерпну енергію і непосидючість;


г) те, що вона завжди мала дороге і ошатне вбрання.


8. Друг Поліанни, Джиммі Бін, мріяв, що колись у нього буде: (1 бал) а) мобільний телефон; б) самокат; в) гарний одяг; г) сім'я.


9. Вдачі Поліанни властиві


: а) уміння безпричинно веселитися;


(1 бал)


б) уміння в усьому бачити кращий бік:


в) уміння з усього вчинити скандал:


г) уміння всім швидко набридати.


10.


Побачивши травмованого містера Пендлтона, Поліанна


(1 бал)


а) якнайшвидше покликала на допомогу лікаря;


б) розважала Пендлтона веселими історіями і пісеньками;


в) гірко плакала над ним і зітхала, що він відтепер


стане інвалідом;


г) розгубилася і втекла


.


(1 бал)


11. Спілкуючись із Поліанною, тітонька Полі з часом стала: а) геть байдужою до дівчинки


б) ще дратівливішою;


в) добрішою, милосерднішою і більш товариською;


г) бездумно задовольняти усі забаганки дівчинки.


12. Серед запропонованих цитат найдіть портрет


(1 бал)


a) <<Тут стояло дбайливо застелене ліжечко, два стільці зі спин- ками, вмивальниця, комод без дзеркала і невеличкий столик. Hi i штор на мансардних вікнах, ні картин на голих стінах»;


6) <<Перед нею лежав садок. Поза садком стежинка бігла через широке поле до кручі, на якій самотня сосна стояла на сторожі величезної скелі»;


в) «Це - чудова гра, із запалом наполягала Поліанна. - Ми завжди гралися в неї. І що складніше завдання, то цікавіша гра»;


г) «... Худорлява дівчинка в сукенці у червону клітинку, брилику і з двома грубенькими світло-жовтими косами. Миле веснянку- вате личко поверталося то ліворуч, то праворуч, видивляючись когось».