Предмет: Математика,
автор: kukovich248
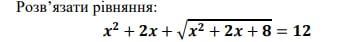
Нужна помощь! Помогите пж
Приложения:
Ответы
Автор ответа:
0
ровно -1/2 или -0,5
Похожие вопросы
Предмет: Математика,
автор: ngluho
Предмет: Алгебра,
автор: iamnastia
Предмет: Информатика,
автор: skiipik
Предмет: Русский язык,
автор: dragonnite573