Предмет: Математика,
автор: sofiyatkachik0607
пж помогите очень срочно!!
Приложения:
Ответы
Автор ответа:
0
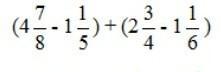
Ответ:
1)(4 7/8-1 1/5)
4×8+7=39
5×1+1=6
39/8-6/5
8`⁵-5`⁸=40
33/40
2)(2 3/4-1 1/6)
2×4+3=11
1×6+1=7
11/4-7/6
4`³-6`²(12)
11/12-7/12=11-7=4
4/12+33/40=37/12×40=37/480
Похожие вопросы
Предмет: История,
автор: Аноним
Предмет: История,
автор: Аноним
Предмет: Английский язык,
автор: arina9566
Предмет: История,
автор: Likaask
Предмет: Математика,
автор: mirzaevabubakir283