Предмет: Физика,
автор: NataliSb
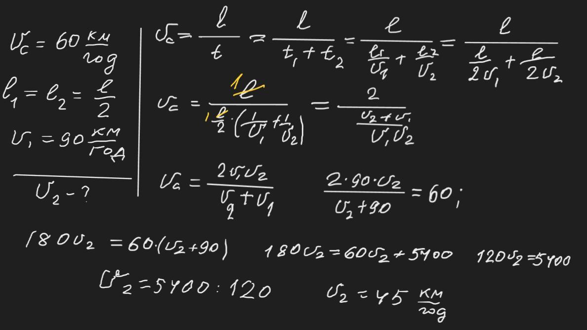
Автомобіліст, який бере участь у змаганнях на рівномірність їзди, повинен проїхати деяку відстань із середньою швидкістю 60 км/год. Однак першу половину шляху він рухався зі швидкістю 90 км/год. Визначте, з якою швидкістю треба проїхати другу половину шляху, щоб середня швидкість дорівнювала 60 км/год.
Ответы
Автор ответа:
0
Відповідь: 45 км /год
Пояснення:
Приложения:
Похожие вопросы
Предмет: Математика,
автор: cavadsalahov25
Предмет: История,
автор: d32701109
Предмет: Английский язык,
автор: d23525
Предмет: Информатика,
автор: Аноним
Предмет: Русский язык,
автор: isomiddinmaduma