Предмет: Математика,
автор: inefeg2006
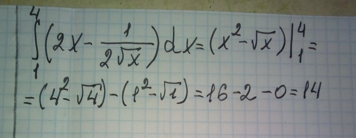
обчислити інтеграл
віддам 40 балів
Приложения:
Ответы
Автор ответа:
1
Ответ:
решение смотри на фотографии
Приложения:
inefeg2006:
дякую вам
Похожие вопросы
Предмет: Математика,
автор: iskander4ik2010
Предмет: Биология,
автор: vitakalashnikova0707
Предмет: Другие предметы,
автор: tarasss25
Предмет: История,
автор: Аноним
Предмет: Математика,
автор: biggggger