Предмет: Алгебра,
автор: severniy9
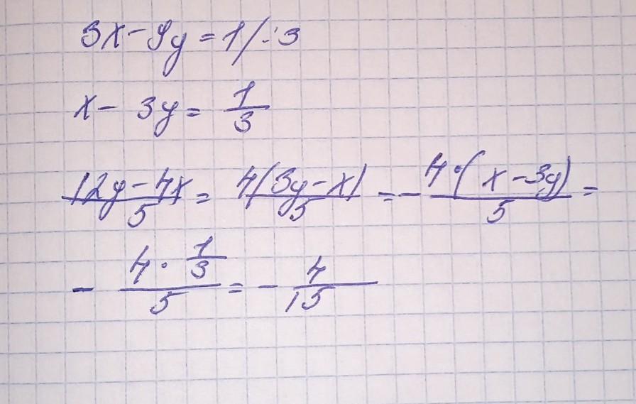
помогите пожалуйста с решением примера.
Приложения:
Ответы
Автор ответа:
0
Ответ:
Объяснение:
Автор ответа:
0
Объяснение:
Приложения:
Похожие вопросы
Предмет: Психология,
автор: konkovaa16
Предмет: Қазақ тiлi,
автор: ajganymrustemkyzy
Предмет: История,
автор: dawagergi
Предмет: Литература,
автор: Аноним
Предмет: Алгебра,
автор: igorstar567