Предмет: Математика, автор: sufik210512

Помогите пожалуйста!
Даю 25 балов

Приложения:

Ответы

Автор ответа: dilafruzkorganbaeva
1

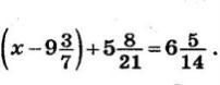
Ответ:

10  \frac{17}{42}

Пошаговое объяснение:

x - 9  \frac{3}{7}  =  \frac{41}{42}

x =  \frac{41}{42}  + 9  \frac{3}{7}

x = 10  \frac{17}{42}

Похожие вопросы
Предмет: Математика, автор: Аноним