Предмет: Алгебра,
автор: yanaslavdn
ДОПОМОЖІТЬ БУДЬ-ЛАСКА
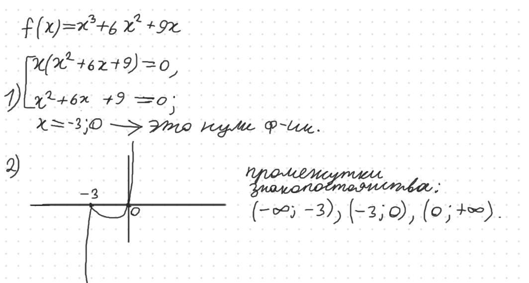
Функцію задано формулою f(x)=x3+6x2+9x
1) Знайдіть нулі функції
2) Укажіть проміжки знакосталості функції f(x)
Ответы
Автор ответа:
1
график примерный, не знаю как он будет выглядеть точно, но с такими вопросами оно и не надо
Приложения:
yanaslavdn:
спасибо вам огромное
Похожие вопросы
Предмет: Обществознание,
автор: k75259927
Предмет: Физика,
автор: artemyakimak
Предмет: Українська література,
автор: 2c679rcbn5
Предмет: Алгебра,
автор: neymanno
Предмет: Литература,
автор: polinaegorova081206