Предмет: Алгебра,
автор: Аноним
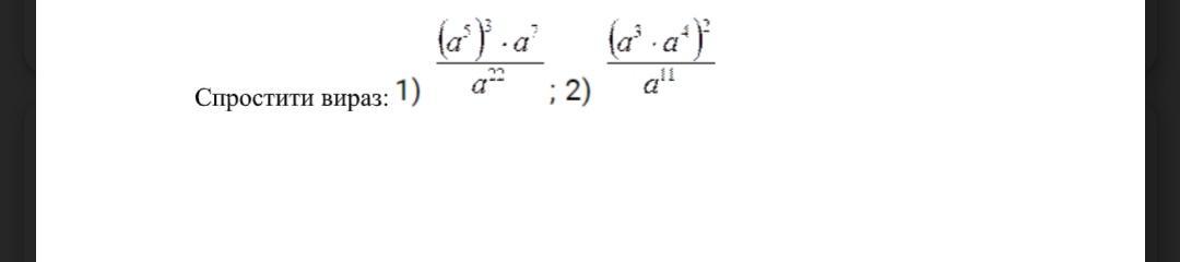
СРОЧНО ПОЖАЛУЙСТА ПОМОГИТЕ
Приложения:
Ответы
Автор ответа:
0
Ответ:
я написала ответ, удачи!
Приложения:
Похожие вопросы
Предмет: Литература,
автор: Nastiiiiiiikk
Предмет: Математика,
автор: mariyabusnko
Предмет: Алгебра,
автор: BezymFox
Предмет: Физика,
автор: 684652
Предмет: Геометрия,
автор: ivantkachenko1350