Предмет: Алгебра, автор: орозбай

найти формулу которая упрощает данное выражение

Приложения:

Ответы

Автор ответа: parus77
1

Ответ:

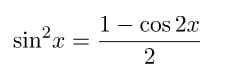
Объяснение: применяем эти тождества для решения

cos2x=cos²x - sin²x                1=sin²x  + cos²x

Приложения:
Похожие вопросы
Предмет: Право, автор: pu960615
ПОЖАЛУЙСТА СРОЧНО, ПРАВОЗНАВСТВО 10 КЛАСС, ДАЮ 100 баллов

1. Дайте характеристику теоріям походження держави і права
2. Що таке держава? Розкрийте її ознаки
3. Розкрийте зміст поняття „форма держави”
4. Дайте характеристику формам правління
5. Які види державного (політичного) режиму вам відомі?
6. Розкрийте зміст поняття „громадське суспільство”, його ознаки
7. Дайте визначення поняття „правова держава”, назвіть основні ознаки правової держави
8. В чому полягає сутність теорії розподілу влади?
1. Дайте визначення поняття „соціальні норми”, які види соціальних норм вам відомі?
2. Порівняйте норми права та норми моралі
3. Дайте визначення поняття „право” та розкрийте його ознаки
4. Розкрийте зміст поняття „законодавство”, охарактеризуйте його систему
5. Що таке правовідносини? Їх склад
6. Правосуб’єктність. Які елементи вона включає?
7. Що таке правопорушення? Які ознаки воно має?
8. Які види правопорушень вам відомі?
9. Назвіть підстави юридичної відповідальності