Предмет: Алгебра,
автор: Iadyiadviga
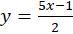
При каких значениях аргумента x значение функции (на фото)
принадлежит промежутку (-3; 0,5)?
Решая задание необходимо на числовой прямой обозначить множество решений и записать его в виде числового промежутка.
Приложения:
Ответы
Автор ответа:
2
Ответ:
Объяснение:
y=(5x-1)/2; (-3; 0,5)
Система неравенств:
5x-1>-3 ⇒ 5x>-3+1 ⇒ x>-2/5 ⇒ x₁>-0,4
5x-1<0,5 ⇒ 5x<0,5+1 ⇒ x<1,5/5 ⇒ x₂<0,3
x₁∩x₂=(-0,4; 0,3) ⇒ x∈(-0,4; 0,3)
///////////////////////////////
----------------------°-----------------------------°------------------------>x
-0,4 0,3
Ответ: x∈(-0,4; 0,3).
56fd:
Доброго дня. Здається, у Вас є помилка у нерівностях. Оскільки функція має вигляд (5x-1)/2; то у даних нерівностей друга частина рівняння мала бути помножена на 2: 5x-1>-6; 5x-1< 1.
Похожие вопросы
Предмет: Українська мова,
автор: kankay
Предмет: Українська література,
автор: ilona201115
Предмет: Физика,
автор: danikparkhomenko
Предмет: Алгебра,
автор: Gjfryffhototd