Предмет: Алгебра,
автор: emasing44253
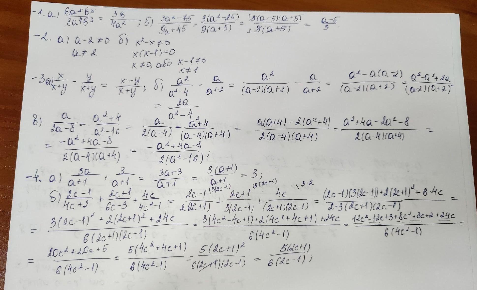
ДАЮ ВСЕ! РЕШИТЕ ПОЖАЛУЙСТА
Приложения:
Ответы
Автор ответа:
1
Решение на прикреплённой фотографии. Если есть вопросы — пиши, объясню. Удачи!
Приложения:
emasing44253:
лучший брат! спасибо тебе! дай бог тебе здоровья
Похожие вопросы
Предмет: Русский язык,
автор: klunnaaolesa017
Предмет: Алгебра,
автор: MegaHoroshiyChel
Предмет: Русский язык,
автор: samsungqusar66291
Предмет: История,
автор: abibulaevmamed
Предмет: Математика,
автор: vikulyakazakova2008