Предмет: Физика,
автор: timusandrij2
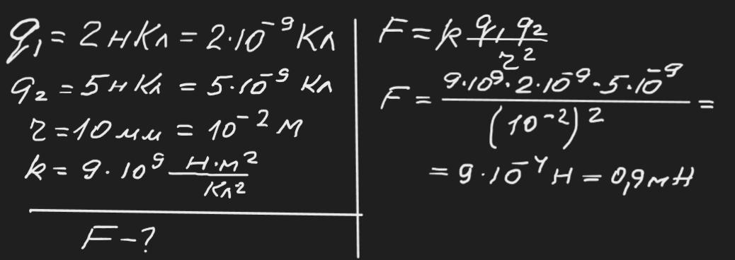
Знайти силу взаємодії двох зарядів величиною 2 нКл та 5 нКл на відстані 10 мм один від одного СРОЧНО!!!
Ответы
Автор ответа:
1
Відповідь: 0,9 мН
Пояснення:
Приложения:
Похожие вопросы
Предмет: Литература,
автор: uaa58418
Предмет: Химия,
автор: karolinabeleckaa00
Предмет: Алгебра,
автор: dariy007abc
Предмет: Алгебра,
автор: Аноним
Предмет: Геометрия,
автор: kkkkkkkkkkkkkkk92