Предмет: Алгебра,
автор: golen1989
Помогите, пожалуйста!
Приложения:
Ответы
Автор ответа:
1
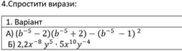
Ответ:
решение смотри на фотографии
Приложения:
golen1989:
Спасибо
Похожие вопросы
Предмет: Українська мова,
автор: Fhdjbdggsh
Предмет: Математика,
автор: grfgfrghtre
Предмет: Математика,
автор: nuraidazanybekova7
Предмет: Биология,
автор: dfyz20gamelover
Предмет: Английский язык,
автор: mariyasoldatov