Предмет: Физика,
автор: egorkondratuk2007
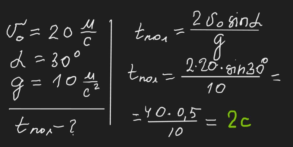
7. Спортсмен штовхає ядро з початковою швидкістю 20 м/с під кутом 30 градусів до горизонту Визначте час польоту ядра. (2 бали)
irinapaskina6:
нормально скажи
Ответы
Автор ответа:
0
Объяснение:
я думаю так
надеюсь помогла
Приложения:
НЕ ті дані!
чому 2v0?
Автор ответа:
2
Відповідь: 2 с
Пояснення:
Приложения:
Похожие вопросы
Предмет: Английский язык,
автор: bondzykdiana
Предмет: Алгебра,
автор: wolfwowvov
Предмет: Математика,
автор: smilovmisa
Предмет: Русский язык,
автор: xapeba6346
Предмет: География,
автор: Лучшиевсеглавное