Предмет: Физика,
автор: serhiygilinopz10
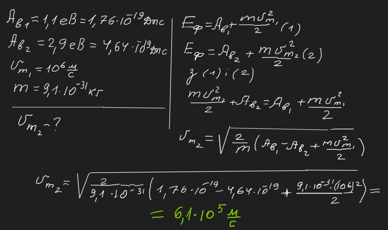
Срочно!!! Монохроматичне світло падає на поверхні двох різних металів. Для першого з них робота виходу електронів дорівнює 1,1еВ, а для другого — 2,9еВ. Визначте максимальну швидкість фотоелектронів, що вилітають із другого металу, якщо для першого металу ця швидкість дорівнює 10^6м/с. (маса електрона m=9,1*10^-31кг, а 1еВ=1,6*10^-19Дж)
Ответы
Автор ответа:
1
Відповідь: Див. додаток
Пояснення:
Приложения:
Похожие вопросы
Предмет: Українська мова,
автор: nelohroman326
Предмет: Українська мова,
автор: ezaichenko35
Предмет: Физика,
автор: varvaracat2010
Предмет: Русский язык,
автор: kostyatytyttyytyy71
Предмет: Химия,
автор: weqrsteam