Предмет: Алгебра,
автор: da228da
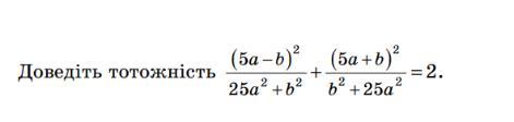
70 балов!! Алгебра, срочно!!! розпишіть!!
Приложения:
Ответы
Автор ответа:
0
Ответ:
ответ указан на фото...
Приложения:
Похожие вопросы
Предмет: Українська мова,
автор: ezaichenko35
Предмет: Физика,
автор: varvaracat2010
Предмет: Химия,
автор: Yarek77
Предмет: Химия,
автор: weqrsteam
Предмет: Алгебра,
автор: Ola55566665676