Предмет: Математика,
автор: jjjtt
помогите пожалуйста
там если что 6
Приложения:
Ответы
Автор ответа:
0
Відповідь:
1 1/3
Покрокове пояснення:
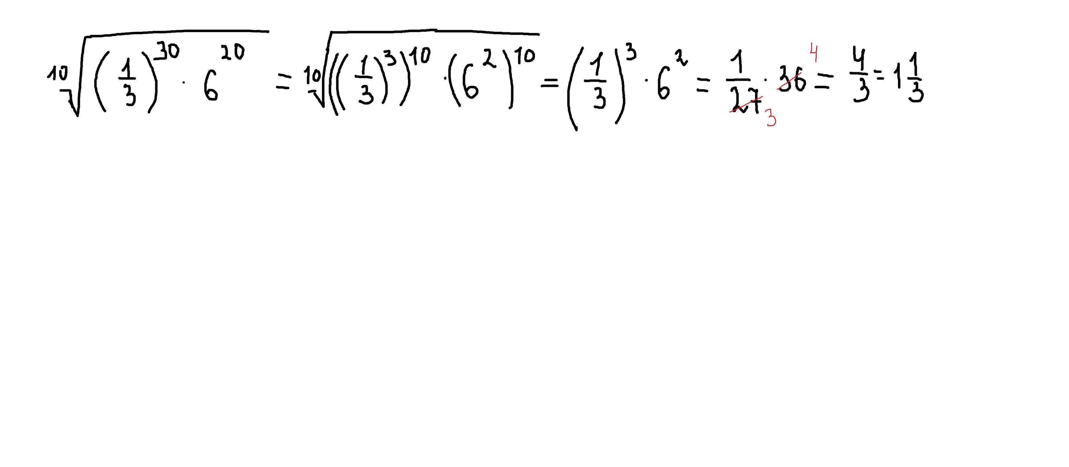
(1/3)^3*6^2=36/27=4/3=1 1/3
jjjtt:
можно пожалуйста на листике
Автор ответа:
1
Ответ:
1 1/3
Пошаговое объяснение:
Приложения:
Похожие вопросы
Предмет: Физика,
автор: galyasharan
Предмет: Математика,
автор: mimimisha880
Предмет: Геометрия,
автор: wistty
Предмет: История,
автор: vladasulzenko034
Предмет: Математика,
автор: majasadovskaa78