Предмет: Алгебра,
автор: mihabk
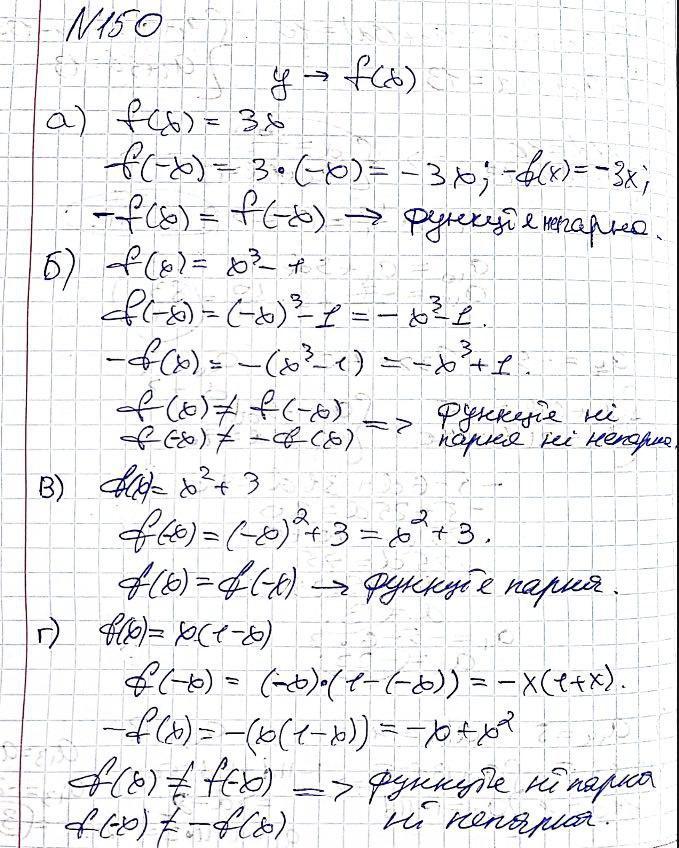
Алгебра 10 класс вправа 150 допоможіть
Приложения:
Ответы
Автор ответа:
1
дивіться фото.......................
Приложения:
Похожие вопросы
Предмет: ОБЖ,
автор: alakjdkskms
Предмет: Физика,
автор: karinamalcenko42
Предмет: История,
автор: katrusjapoli
Предмет: Математика,
автор: ohranna
Предмет: Русский язык,
автор: KiraTOPkira