Предмет: Алгебра,
автор: S0M
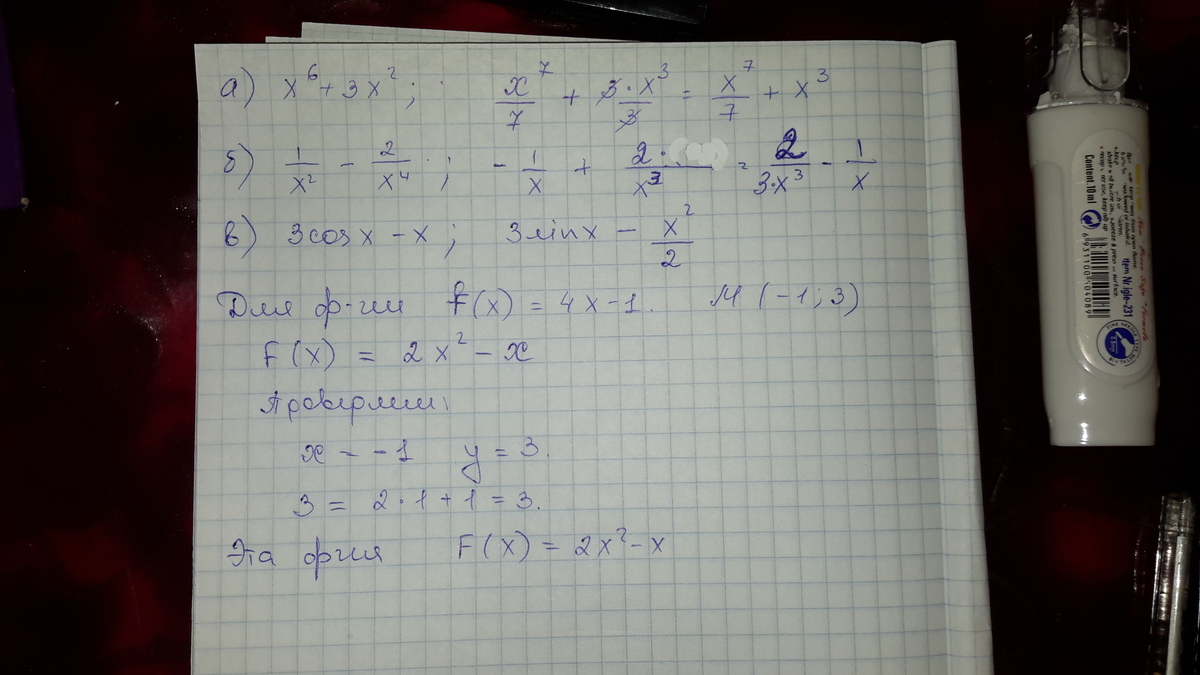
Срочно, вторую половину доски решите
Приложения:
Ответы
Автор ответа:
0
""""""""""""""""""""""""""""""""""""""""""
Приложения:
Автор ответа:
0
1.а.

б.

c.

2.




б.
c.
2.
Приложения:
Похожие вопросы
Предмет: География,
автор: AnyaLaLaLaLaaa
Предмет: Математика,
автор: vanabocan
Предмет: Другие предметы,
автор: sterpulelizaveta
Предмет: Алгебра,
автор: anastasyasidor
Предмет: Алгебра,
автор: Sasha14D