Предмет: Физика,
автор: daniakucher292
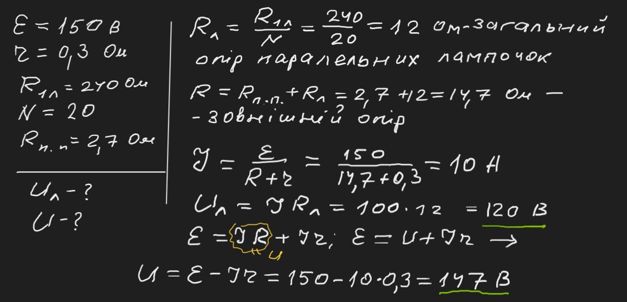
Генератор постійного струму з ЕРС 150 В і внутрішнім опором 0,3 Ом живить 20 лампочок опором 240 Ом кожна , з‘єднаних паралельно . Опір підвідних проводів 2,7 Ом . Визначити напругу на лампочках і на затискачах генератора.
Ответы
Автор ответа:
1
Відповідь: 120 В 147 В
Пояснення:
Приложения:
daniakucher292:
Дуже дякую :)
Похожие вопросы
Предмет: Литература,
автор: artemrte77
Предмет: Математика,
автор: fcuheuk205
Предмет: Русский язык,
автор: misterkolyaterentyev
Предмет: Математика,
автор: yasinanargiza
Предмет: Химия,
автор: dp42090095