Предмет: Алгебра,
автор: azarenkosasha2710
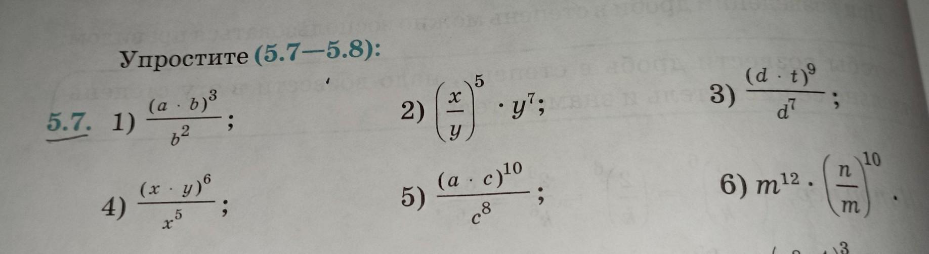
Упростите (5.7-5.8)
Приложения:
Ответы
Автор ответа:
18
Ответ:
решение смотри на фотографии
Приложения:
ruiii01q:
а почему так вышло?
???
это правильно?
да
это точно правильно людии??
да
5.8 можете отправить пж 6 последний ..
Похожие вопросы
Предмет: Русский язык,
автор: Иринка236
Предмет: Беларуская мова,
автор: ketreen31
Предмет: Русский язык,
автор: zsaidoripva
Предмет: Геометрия,
автор: keiler14