Предмет: Алгебра,
автор: ПозитивчЧик
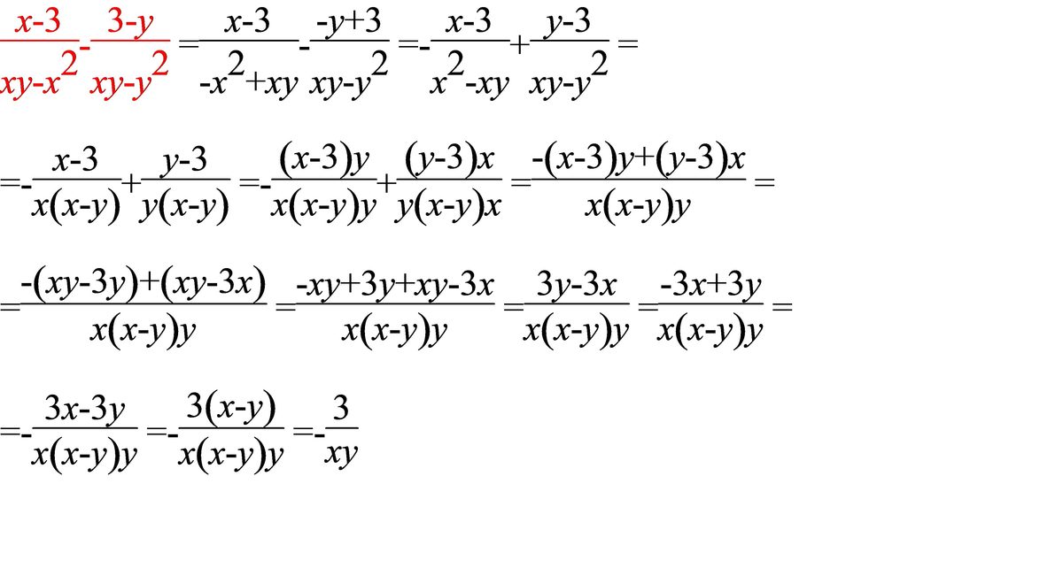
упростите выражение
х-з 3-у
____ -- ____
ху-х^ ху-у^
Ответы
Автор ответа:
0
файл
============================
Приложения:
Похожие вопросы
Предмет: Литература,
автор: inoplaneanen51
Предмет: Русский язык,
автор: 15491
Предмет: Физика,
автор: kgdgfefdg44543
Предмет: Физика,
автор: Medina95