Предмет: Алгебра, автор: toffixmobile2324

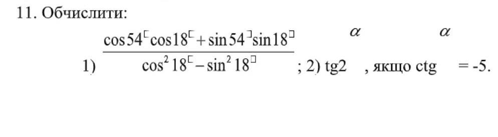
11. Обчислити: 1) cos 54 cos18+ sin 54 sin 18 cos²18-sin218 ; 2) tg2 якщо ctg a = -5.​

Приложения:

Ответы

Автор ответа: Alnadya
0

Решение.

Применяем формулы косинуса разности и косинуса двойного угла .

\bf \displaystyle 1)\ \ \frac{cos54^\circ \cdot cos18^\circ +sin54^\circ \cdot sin18^\circ }{cos^218^\circ -sin^218^\circ }=\frac{cos(54^\circ -18^\circ )}{cos(2\cdot 18^\circ )}=\frac{cos36^\circ }{sin36^\circ }=\\\\\\=ctg36^\circ =\sqrt{1+\dfrac{2}{\sqrt5}}  

\displaystyle \bf 2)\ \ ctg\alpha =-5\ \ ,\ \ \ tg2\alpha -?

Воспользуемся тождеством   \bf tg\alpha \cdot ctg\alpha =1\ .

\displaystyle \bf tg\alpha =\frac{1}{ctg\alpha }=-\frac{1}{5}\\\\\\tg2\alpha =\frac{2\, tg\alpha }{1-tg^2\alpha }=\frac{2\cdot (-\frac{1}{5})}{1-\frac{1}{25}}=-\frac{2}{5\cdot \frac{25-1}{25}}=-\frac{2\cdot 5}{24}=-\frac{5}{12}  

Похожие вопросы
Предмет: Окружающий мир, автор: Аноним