Предмет: Физика,
автор: clashclesh2
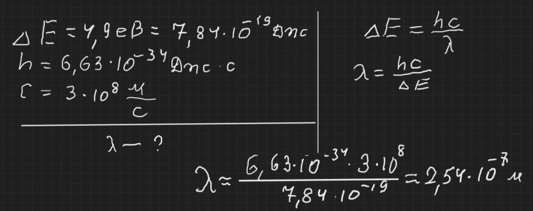
Даю 30 балів Енергія атома ртуті внаслідок поглинання ним кванта світла змінилася на 4,9еВ.
Визначте довжину хвилі поглинутого світла.
Ответы
Автор ответа:
1
Відповідь: 254 нм
Пояснення:
Приложения:
Похожие вопросы
Предмет: Английский язык,
автор: ПростоПарень1227
Предмет: Окружающий мир,
автор: арчебальт786
Предмет: Русский язык,
автор: Lolehoirtevnor
Предмет: Информатика,
автор: fira8519
Предмет: Физика,
автор: mils728