Предмет: Физика,
автор: andriy0390
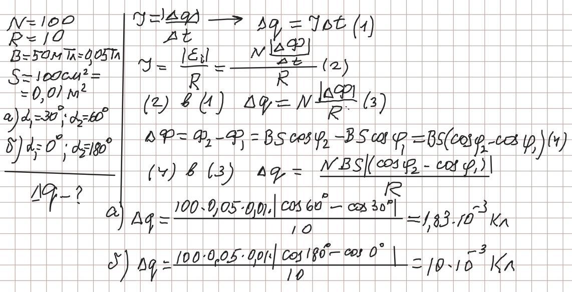
30Б. На рамку намотано 100 витків дроту опором R = 10 Ом. Рамка рівномірно обертається у однорідному магнітному полі з індукцією 50 мТл. Вісь обертання лежить у площині рамки і перпендикулярна лініям індукції. Площина рамки S = 100 см². Визначити, який заряд протече через рамку при повороті її від кута α₁ до α₂: 1) від 30° до 60°; 2) від 0° до 180° . (α - кут меж вектором індукції і нормаллю до рамки).
Ответы
Автор ответа:
1
Відповідь: 1) 1,83 мКл 2) 10 мКл
Пояснення:
Приложения:
Похожие вопросы
Предмет: Русский язык,
автор: човогв
Предмет: Русский язык,
автор: MilikNikolay
Предмет: Русский язык,
автор: СоколовскаяКарина
Предмет: История,
автор: peupekup
Предмет: Алгебра,
автор: rtyuigv