Предмет: Алгебра,
автор: ifeelsobad
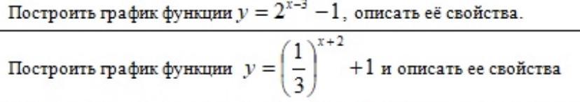
Помогите, пожалуйста, построить графики функций
Приложения:
Ответы
Автор ответа:
0
Ответ:
Сделано в фото
Сделано в фото
Приложения:
BMW52:
А свойства?
Сказал «Помогите пожалуйста построить графики функций»
Похожие вопросы
Предмет: Окружающий мир,
автор: liramira1
Предмет: Английский язык,
автор: фиксторлпра
Предмет: Русский язык,
автор: НекуНейм
Предмет: Английский язык,
автор: pasha5455
Предмет: Математика,
автор: pgaynutdinov