Предмет: Математика,
автор: dmiyriyromanyuk
Срочно
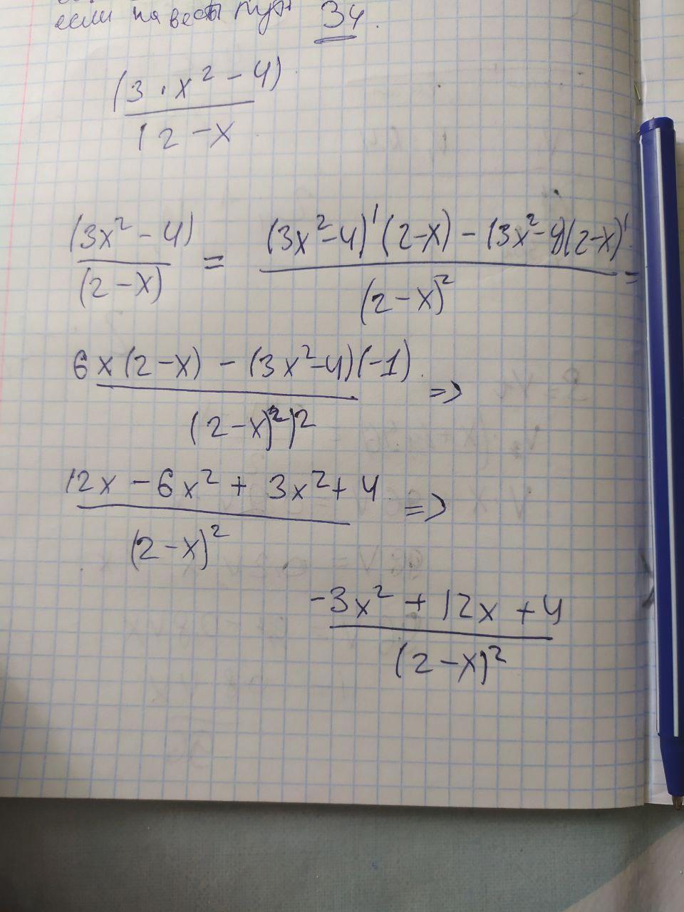
найти производную функции (3*x^2-4)/(2-x)
Ответы
Автор ответа:
1
Ответ:
Пошаговое объяснение:
в файле
Приложения:
Автор ответа:
1
енененеененнееннеене
Приложения:
Похожие вопросы
Предмет: Українська мова,
автор: вікаучениця
Предмет: Русский язык,
автор: Ekaterrinaaa
Предмет: Английский язык,
автор: Мананеки
Предмет: Английский язык,
автор: nasta8965224180
Предмет: Математика,
автор: tok12390