Предмет: Математика,
автор: tok12390
можете сделать пж очень срочно
Приложения:
Ответы
Автор ответа:
1
Ответ:
Пошаговое объяснение:
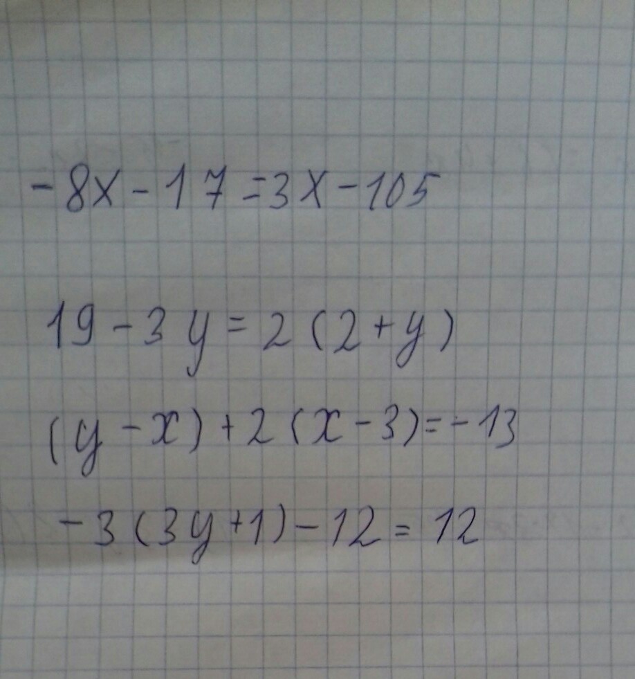
-8х-17=3х-105
-11х=88(делим на 11)
х=-8
19-3у=2(2+у)
-3у-2у=4-19
-5у=-15(делим на -5)
у=3
-3(3у+1)-12=12
-9у-3-12=12
-9у=27(делим на -9)
у=-3
Похожие вопросы
Предмет: Другие предметы,
автор: zalypa222228xyi
Предмет: Физика,
автор: albor20042016
Предмет: Алгебра,
автор: mironovdenis371
Предмет: Математика,
автор: vinosh
Предмет: Алгебра,
автор: Cr1stal2к16