Предмет: Физика, автор: zongmatkai

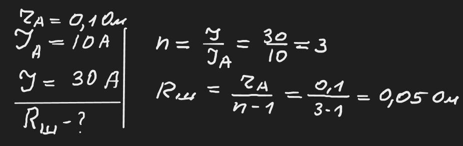
Визначити опір шунта, який потрібно під єднати до амперметра шкала
якого 0-10 А, щоб можна було виміряти струм 30 А. Опір амперметра
0,1 Ом

Ответы

Автор ответа: zybkov1950
0

Відповідь: 0,05 Ом

Пояснення:

Приложения:
Похожие вопросы
Предмет: Қазақ тiлi, автор: ожет
Предмет: Русский язык, автор: asvatolina98
Изложите данный текст научным стилем.
Кто это звонко щебечет весной во дворе? Это вернулись с юга, из Африки, быстрокрылые ласточки. Деревенскую ласточку называют ещё касаткой. Прозвали её так по-тому, что хвост у неё похож на две длинных чёрных косицы. Головка и спинка у касатки тоже чёрные с синевой, а грудь и брюшко совсем беленькие, будто она в белый фартучек нарядилась. Как только вернутся ласточки весной в деревню, сразу же начинают гнёзда строить. Удивительные птицы не вьют их из прутьев и веток, а лепят из глины. Выберут для гнезда подходящее место где-нибудь под крышей дома или сарая и летят скорее на берег пруда. Сядут возле воды, отыщут клювом кусочек глины и обратно спешат. А пока несут глину во рту, она от слюны становится липкой и легко пристаёт к стене. Так, комочек к комочку, и вылепят птицы из глины своё уютное гнёздышко. Внутри выстелют его мягким пухом – вот и готова квартира, можно птенцов выводить.