Предмет: Алгебра,
автор: ulanakrivun
Допоможіть!
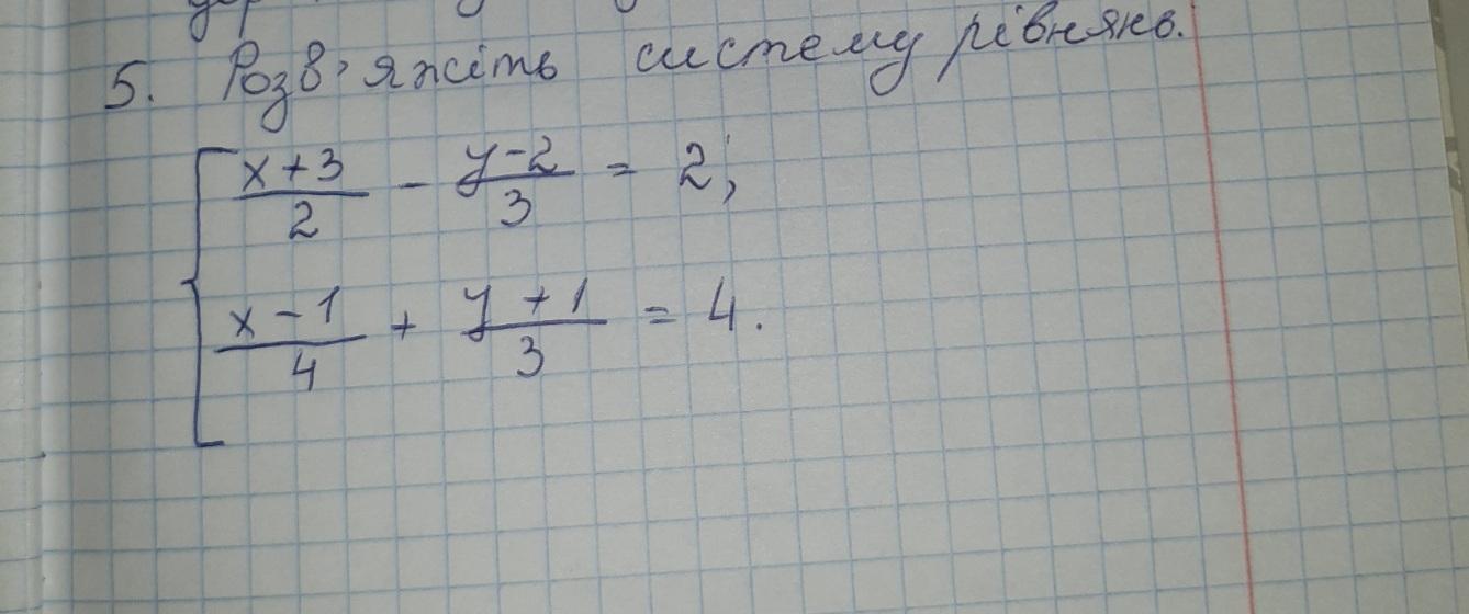
Розв'яжіть системі рівнянь
Приложения:
Ответы
Автор ответа:
1
Ответ:
y=8, x=5
Объяснение:
Приложения:
Похожие вопросы
Предмет: Английский язык,
автор: англиский25
Предмет: Английский язык,
автор: FoxDord
Предмет: Русский язык,
автор: всезнайка333333333
Предмет: Русский язык,
автор: Ставец
Предмет: Математика,
автор: yangurazova2018