Предмет: Геометрия,
автор: naxtop920
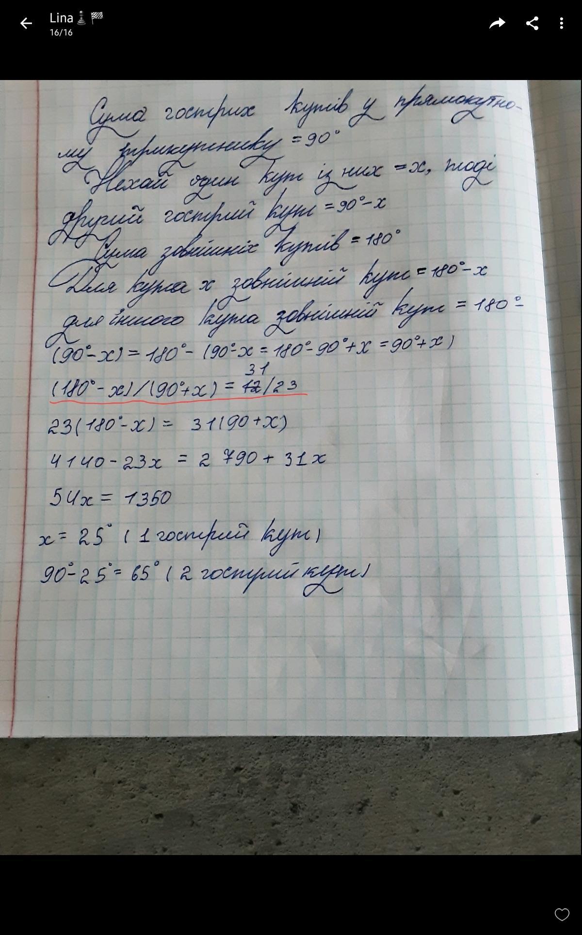
Знайдіть гостри кути прямокутного трикутника, якщо зовнішні кути при вершинах цих кутів відносяться 31:23.
Ответы
Автор ответа:
0
Відповідь:
Пояснення:
де підчеркнуто напиши в стовбчік
Приложения:
Похожие вопросы
Предмет: Українська мова,
автор: UtiKruti
Предмет: Русский язык,
автор: Аноним
Предмет: Русский язык,
автор: КиригаяКазуто
Предмет: Английский язык,
автор: DanikFredber