Предмет: Физика,
автор: frankinstejn443
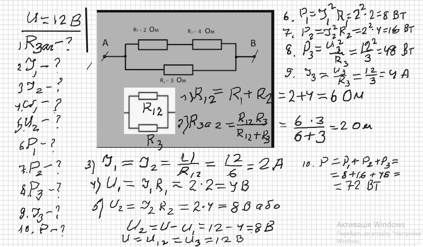
На клеми АВ подано напругу 12 в . Яка загальна потужність виділяється на цiй ділянці кола ?
4Ви
8Вт
12Вт
16Вт
24Вт
48Вт
72 Вт
96Вт
100Вт
Дуже потрібно
Приложения:
Ответы
Автор ответа:
1
Відповідь: 72 Вт
Пояснення: В додатку розв'язання всіх завдань
Приложения:
Похожие вопросы
Предмет: Русский язык,
автор: huseyn1986
Предмет: Английский язык,
автор: анюта2342
Предмет: Английский язык,
автор: pavlovacvetamailru
Предмет: Русский язык,
автор: gu646799
Предмет: Биология,
автор: knu1977