Предмет: Математика,
автор: KonStoB
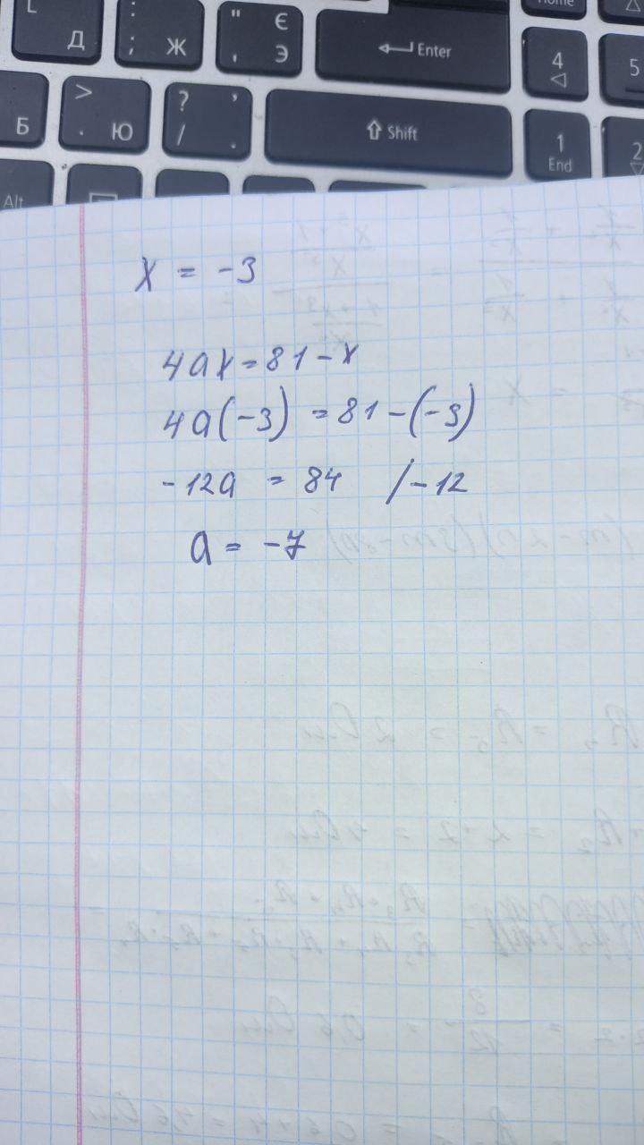
При каком значении a уравнение 4ax=81-x имеет корень,равный числу-3
Ответы
Автор ответа:
2
Відповідь:
Покрокове пояснення:
Приложения:
KonStoB:
От души брат
Похожие вопросы
Предмет: Қазақ тiлi,
автор: Atamurat
Предмет: Русский язык,
автор: Аноним
Предмет: Английский язык,
автор: Sasha6661111
Предмет: Українська мова,
автор: misha8859YMH
Предмет: Алгебра,
автор: Asiyyya