Предмет: Алгебра,
автор: sofi4091
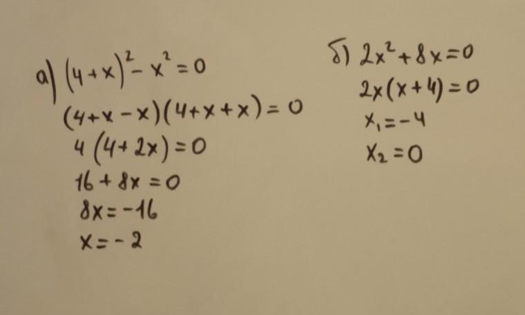
5. Розв'яжіть рівняння: а) (4 + х)² - x²= 0; 6) 2х² + 8x = 0.
Ответы
Автор ответа:
0
Ответ:
а) -2;
б) x=-4; x=0
Объяснение:
на фотоооооооооо
Приложения:
Похожие вопросы
Предмет: Английский язык,
автор: мираславамудрая
Предмет: Английский язык,
автор: Arishka9163
Предмет: Русский язык,
автор: Аноним
Предмет: Физика,
автор: nikitosoz8
Предмет: Английский язык,
автор: ilcff