Предмет: Алгебра, автор: Reideen

Задание приложено...

Приложения:

Ответы

Автор ответа: mathkot
1

Ответ:

Пределы:

1) \boxed{ \boldsymbol{  \displaystyle  \lim_{x \to 0} \frac{x + \sqrt{x} }{x - \sqrt{x} }  = -1   }   }

2) \boxed{ \boldsymbol{  \displaystyle  \lim_{x \to 4} \frac{\sqrt{x} - 2}{x - 4} =0,25   }   }

3) \boxed{ \boldsymbol{  \displaystyle  \lim_{x \to 1} \frac{x^{2} - \sqrt{x} }{1 - \sqrt{x} } =     -3}   }

Примечание:

\lim_{x \to a} f(x) = f(a) если \exists f(a)

------------------------------------------------------------------------------------------------------

Если:

1) \lim_{x \to a} f(x) =\lim_{x \to a} g(x) = 0 или \lim_{x \to a} f(x) =\lim_{x \to a} g(x) = \infty

2) функции f(x) и g(x) дифференцируемы в окрестности точки x =a

и в окрестности этой точки g'(x) \neq 0

3) \exists  \lim_{x \to a} \dfrac{f'(x)}{g'(x)}

По правилу Лопиталя:

\boxed{ \lim_{x \to a} \dfrac{f(x)}{g(x)} = \bigg [ \dfrac{0}{0} \bigg ] = \lim_{x \to a} \dfrac{f'(x)}{g'(x)} } или \boxed{ \lim_{x \to a} \dfrac{f(x)}{g(x)} = \bigg [ \dfrac{\infty}{\infty} \bigg ] = \lim_{x \to a} \dfrac{f'(x)}{g'(x)} }

----------------------------------------------------------------------------------------------------------

Следствие из предела произведения:

\lim_{x \to a} (k \cdot f(x)) = k \lim_{x \to a} f(x)

Объяснение:

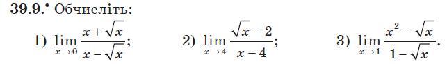
39.9

1)\displaystyle  \lim_{x \to 0} \frac{x + \sqrt{x} }{x - \sqrt{x} }  =  \bigg [\frac{0}{0}  \bigg] =  \lim_{x \to 0} \frac{ (x + \sqrt{x})' }{ (x - \sqrt{x})' } = \lim_{x \to 0} \frac{1 + \dfrac{2}{\sqrt{x} } }{1 - \dfrac{2}{\sqrt{x} } }  = \bigg [\frac{\infty}{\infty}  \bigg] =\lim_{x \to 0} \frac{ \bigg(1 + \dfrac{2}{\sqrt{x} } \bigg)' }{\bigg( 1 - \dfrac{2}{\sqrt{x} } \bigg)'} =

= \displaystyle  \lim_{x \to 0} \frac{ \bigg( \dfrac{2}{\sqrt{x} }  \bigg)'  }{ \bigg( -\dfrac{2}{\sqrt{x} } \bigg)'} = -\lim_{x \to 0} \frac{ 2\bigg( \dfrac{1}{\sqrt{x} }  \bigg)'  }{ 2\bigg( \dfrac{1}{\sqrt{x} } \bigg)'} = -\lim_{x \to 0} \frac{ \bigg( \dfrac{1}{\sqrt{x} }  \bigg)'  }{ \bigg( \dfrac{1}{\sqrt{x} } \bigg)'} = -\lim_{x \to 0} \frac{-\dfrac{2}{\sqrt{x} } :x }{-\dfrac{2}{\sqrt{x} } : x} =

= -1

2)

\displaystyle  \lim_{x \to 4} \frac{\sqrt{x} - 2}{x - 4} = \lim_{x \to 4} \frac{(\sqrt{x} - 2)}{( \sqrt{x} - 2 )(\sqrt{x} + 2)} =   \lim_{x \to 4} \frac{1}{\sqrt{x} + 2} = \frac{1}{\sqrt{4} + 2 } =  0,25

3)

\displaystyle  \lim_{x \to 1} \frac{x^{2} - \sqrt{x} }{1 - \sqrt{x} } =  \lim_{x \to 1} \frac{(\sqrt{x} )^{4} - \sqrt{x} }{1 - \sqrt{x} } =- \lim_{x \to 1} \frac{\sqrt{x}((\sqrt{x} )^{3} - 1) }{ \sqrt{x} -1 } =

=\displaystyle - \lim_{x \to 1} \frac{\sqrt{x}(\sqrt{x}  - 1)(x + \sqrt{x} + 1)  }{ \sqrt{x} -1 } = - \lim_{x \to 1} \sqrt{x} (x + \sqrt{x} + 1) =

= -\sqrt{1} (1 + \sqrt{1} + 1 )= -(1 + 1 + 1) =-3

Похожие вопросы
Предмет: Другие предметы, автор: матис1
Предмет: Қазақ тiлi, автор: анара51