Предмет: Алгебра,
автор: varvara1132
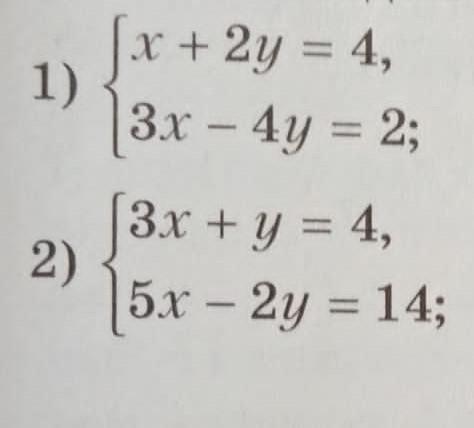
помогите пожалуйста с алгеброй! срочно надо!
Приложения:
varvara1132:
надо решить систему линейного уравнения методом подстановки
Ответы
Автор ответа:
1
Ответ:ответ и пояснение на фото
Объяснение:
Приложения:
Похожие вопросы
Предмет: Английский язык,
автор: dfriy
Предмет: Английский язык,
автор: rogalikovskiysk
Предмет: Другие предметы,
автор: Ruzanna11111
Предмет: Русский язык,
автор: 653945361