Предмет: Математика,
автор: kimdasa432
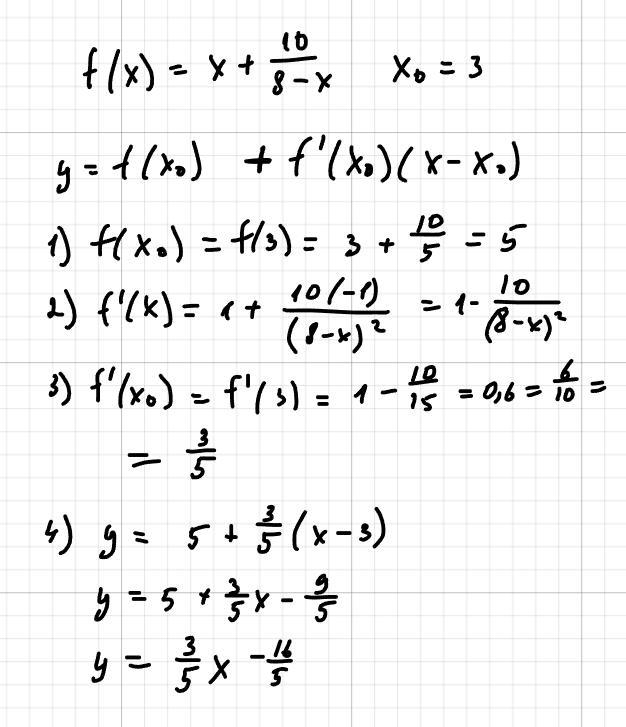
Найди уравнение касательной к графику функции f(x)= x+10/8-x в точке с абсциссой x0=3
Ответы
Автор ответа:
0
см приложение..................
Приложения:
kimdasa432:
А если нужна форма y= (дробь)*x+(дробь)?
погодь, я зделала ошибку со знаками
всё, переделала
и там не важно десятичная дробь или обыкновенная, это же оно и тоже, просто формат разный, т.е. это не будет ошикой, если вместо 1/5 напишешь 0.2
Похожие вопросы
Предмет: Другие предметы,
автор: vika2409
Предмет: Английский язык,
автор: gas2402
Предмет: Русский язык,
автор: дика39
Предмет: Алгебра,
автор: Hciki0Hcak
Предмет: География,
автор: alina4556