Предмет: Математика,
автор: 6668xkzjhbv
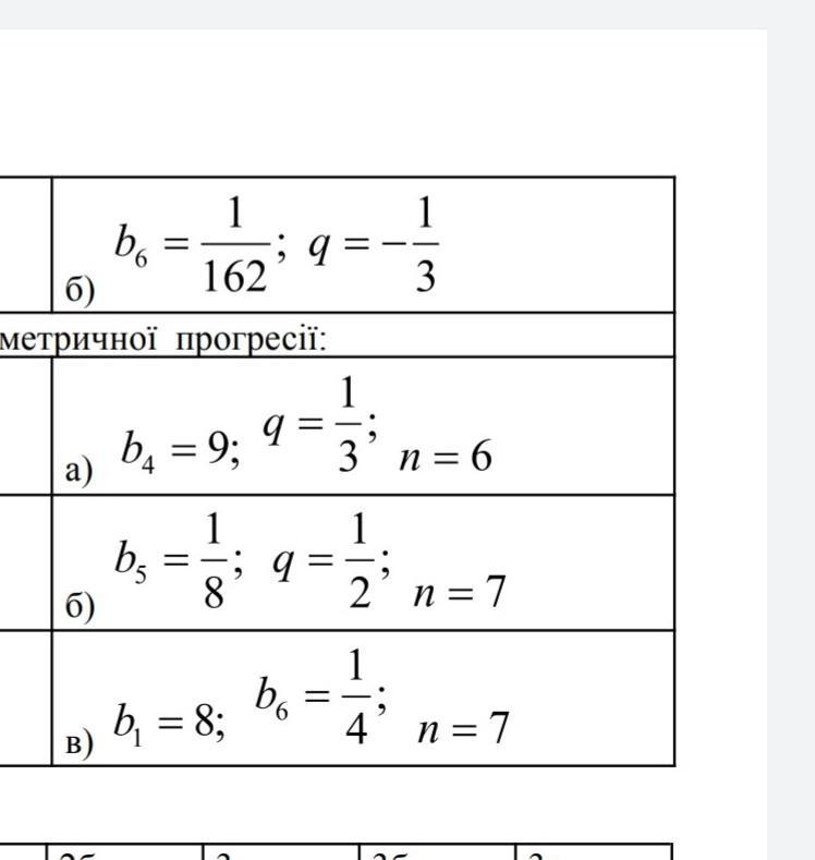
Знайти суму п перших членів геометричної прогресії:, помогите алгебра
Приложения:
Ответы
Автор ответа:
0
Ответ:
17 см у члена а если он встанет то 28
Похожие вопросы
Предмет: Қазақ тiлi,
автор: Памагите03
Предмет: Українська література,
автор: IKolnik228
Предмет: Английский язык,
автор: valeria200417
Предмет: Математика,
автор: Artemlove0104
Предмет: Физика,
автор: nazarokhmakp01c21