Предмет: Математика,
автор: Kvetra
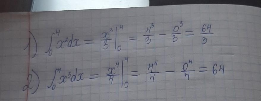
Найти определённый интеграл, помогите пожалуйста.
Приложения:
Ответы
Автор ответа:
0
Ответ:
Надеюсь помог)
...............
Приложения:
Похожие вопросы
Предмет: Русский язык,
автор: Smartypants
Предмет: Другие предметы,
автор: настя4539
Предмет: Русский язык,
автор: g1elo
Предмет: История,
автор: liska53
Предмет: Информатика,
автор: hamatnurowaalf