Предмет: Математика,
автор: fghvrhn6419
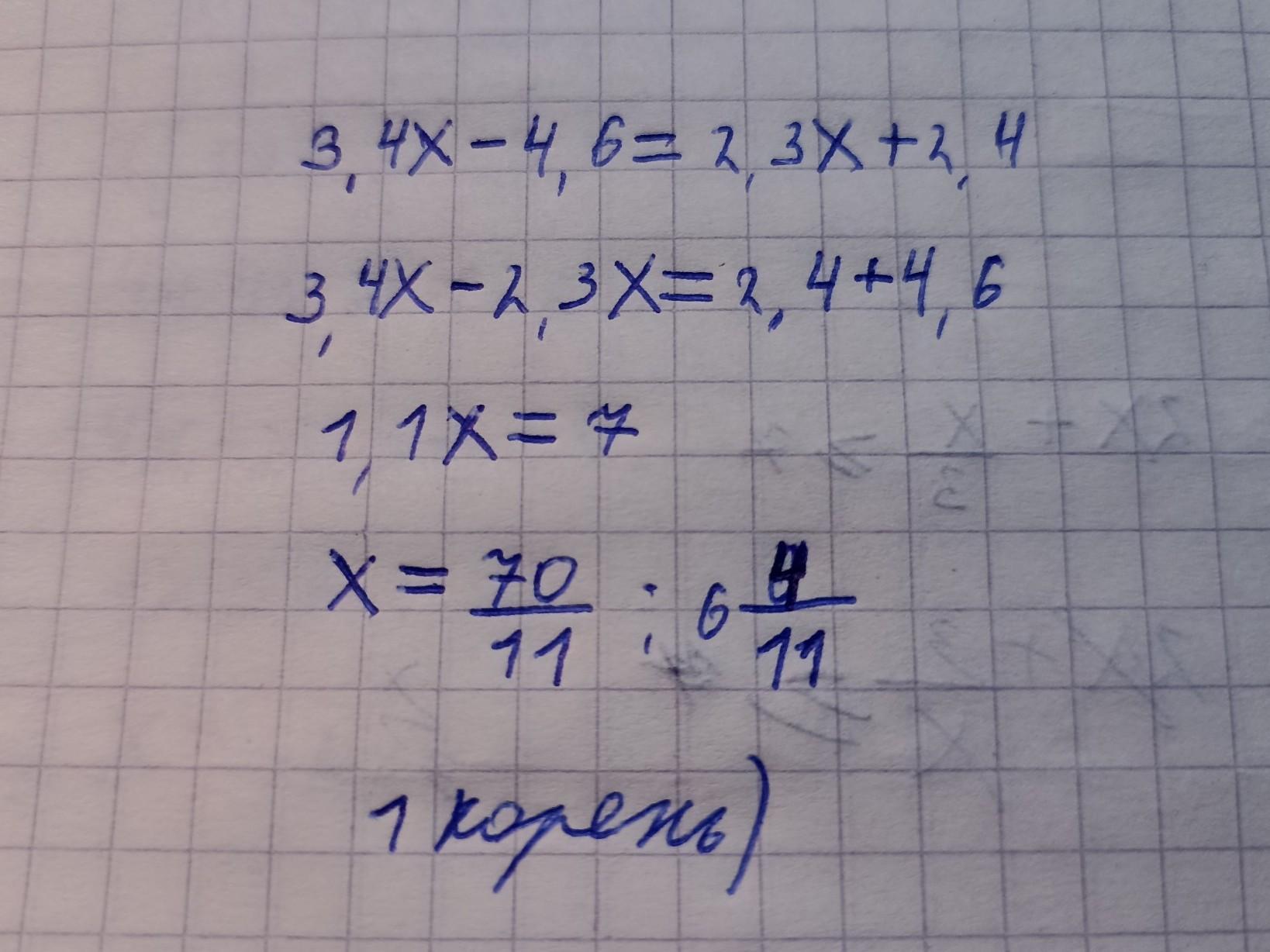
Сколько корней имеет данное уравнение 3,4x - 4,6=2,3x+2,4 ? ПОЖАЛУЙСТА СКАЖИТЕ
Ответы
Автор ответа:
0
Ответ:
Ответ во вложении
Пошаговое объяснение:
Удачи))
Приложения:
Похожие вопросы
Предмет: Русский язык,
автор: Ronel
Предмет: Русский язык,
автор: mrralio
Предмет: Русский язык,
автор: эльвина112
Предмет: История,
автор: 122360426890
Предмет: Литература,
автор: rbashira00