Предмет: Математика,
автор: serkserk1900
100 баллов плиз!!!!!
Приложения:
serkserk1900:
ПЖ ДАЙТЕ ОТВЕТ . ТОЛЬКО ПРАВЕЛЬНЫЙ
Ответы
Автор ответа:
1
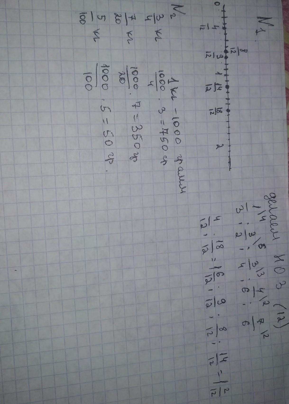
номер 1. чтобы изобразить надо найти ноз чисел,в нашем случае 12.
отрезок надо разделить так чтобы можно было показать дробные числа,поэтому делим на 12 частей.
номер 2. в одном кг - 1000 грамм. соответственно мы находим части от 1000 грамм.
Приложения:
ОГРОМНОЕ СПАСИБООО !!!!
не за что!
Автор ответа:
1
Ответ:
Пошаговое объяснение:
№ 2
1 кг = 1000 г
3/4кг = 3/4 * 1000 = 3000/4 = 750г
7/20кг = 7/20 * 1000 = 7/1 * 50 = 350/1 = 350г
5/100кг = 5/100 * 1000 = 5/1 * 10 = 50/1 = 50г
№1
Чтобы эти дроби разместить на координатном луче, приведём их к общему знаменателю 12.
Значит единичный отрезок будет равен 12 клеткам .
Приложения:
Похожие вопросы
Предмет: Английский язык,
автор: Аноним
Предмет: Русский язык,
автор: 1232095
Предмет: Қазақ тiлi,
автор: Табынбай
Предмет: Математика,
автор: 05092007q
Предмет: Математика,
автор: SofiaSofaSofia